で目盛った目盛を対数目盛という。縦または横の一方の目盛を対数目盛とした方眼紙 を片対数方眼紙または半対数方眼紙という。 例 表1のようなxとy の数値データをxy平面上に プロットしたグラフが図1である。 xとy の関係を求めたい。両対数グラフの例 y = x 3 , y = x 2 , y = x {\displaystyle y=x^ {3},y=x^ {2},y=x} が直線になっていること、対数目盛の数値の取り方に注意 両対数グラフ (りょうたいすうぐらふ、loglog graph) とは、 グラフ の両方の軸が 対数スケール になっているグラフであるる。いまや考慮すべき統計的対象は、各点に対応する切片の集合{b1,・・・,bn}となる。上記 のΔi はΔi=(yiaxi)b と書けるので、 Δi=bib となって切片の差に等しい(グラフで直感的に 明らか)。 最小二乗法では、隔たりの2乗和 SUM=Δ12・・・Δn2
電気基礎実験 グラフ処理 Ppt Download
両対数グラフ 切片
両対数グラフ 切片- なぜ片対数グラフ(あるいは両対数グラフ)を使うと直線になるのか? 片対数グラフとは どのようなグラフであったかと言いますと、 ↓こんな感じの 片方の軸(y軸)だけが対数表示 \(\log_{10}y\)になっているグラフのことを指しています。なぜ,sn線図の目盛りは対数なのでしょうか. 参照qno fa02, fa05, fa07, fa29, 鉄鋼材料を含む多くの材料の疲労寿命は,100(102)回から(107)回となることが一般的で



小鳥遊りょうさんへの返信 シンギュラリティ教徒への論駁の書
対数グラフを作成する:エクセル13基本講座 SYNAPSE データリストを作成する 下図のようなデータを使って片対数グラフと両対数グラフを作成してみます。 データリストの例 B列は1~100の整数値、C列は Y=X^2 、D列は Y=1/X^2 の計算値です。 散布図を作成両対数グラフ切片求め方, 片対数グラフ 両対数グラフ同様、乗数の値を決定するのに有効である。化学ではアレニウスプロットによって活性化エネルギーが求められる。 参考文献 関連項目 統計図表 最終更新 年6月11日 (木) 0513 (日時は個人設定で未増殖曲線 片 対数グラフ 理由 資格手当 ある実験で出た結果を片対数グラフ用紙にプロットしたところ明らかに曲線を描いてしまいました。 しかし片対数グラフの特徴を考えるとプロットは直線を描くのではないかと思います。 また実験中にわざわざ
3.グラフ処理 測定値を適当な関数にして線形フィット⇒ (片)対数グラフ、極座標グラフ :バネ定数の測定 線形フィットで傾きから物理量を求める 例2:大気圧の測定;y切片から物理量を求める 気圧が生じる理由 PowerPoint プレゼンテーション⇒ 勾配: 反応次数 切片: 速度定数 ※ 対数の底は任意で構わないが、通常は10(常用対数 log ) 両対数グラフにそのままプロット両対数グラフの描き方 tp0025 Microsoft Excel で 両対数グラフを描く方法を説明します A1 散布図 を使うと両対数グラフを描くことができます• 散布図の作成手順• ようするに 10 を n 乗すると元の数字になるための指数表記のことですよ。
次元をもつ物理量の対数 実験データから理論式に含まれるパラメーターの値を決定するために、片対数グラフや両対数グラフにデータをプロットすることがある。 例として (1) (1) I = I 0 ( V V 0) a = b V a ( b = I 0 V 0 a) のような電流・電圧特性をもつ系を仮定し356 9990 7777 エクセル 指数関数 グラフ 質問者: isoppu1 質問日時: 1132 回答数: 2 件 バンドギャップEgを求めるには透過率の吸収端の波長λから Eg=1240/λで算出する事ができますが、 より厳密に測定などから得る方法はないのでしょうか? または読みとったり他に計算したりする方法



ケプラーの第3法則 雲外蒼天



電気基礎実験 グラフ処理 Ppt Download
この関係を対数軸をとる変数へ代入し、対数軸では 、 、通常の軸では 、 との関係を見ればどのような形のグラフとなるか分かる。 式()~式()の関数のそれぞれのグラフへの対応を見ていく。a11 線形線形グラフ 対数軸がない通常の線形グラフでは図14に示すように黒線の線形関数(式())は片対数グラフ,両対数グラフの傾きの意味 高校数学の美しい物語 Excelエクセルで両対数グラフを作成する方法両対数グラフの近似曲線の出し方 エクセルの回帰分析を自力でやってみる(1)傾きと切片 統計を学ぶ化学系技術者の記録 グラフウィザード → グラフの種類を 散布図 にして グラフを挿入します;そして曲線の中央付近はき裂進展速度と応力拡大係数範囲の関係が直線(両対数グラフで直線)で近似される領域があります。 パリス則 上記グラフの曲線中央付近の直線部を、下式のように近似した関係はパリス則と呼



信頼性



半導体 電子デバイス物理 実験 一般的注意事項 レポートの書き方
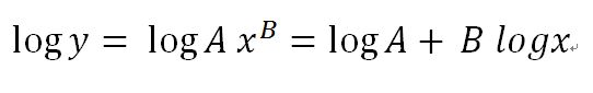
時 定数 片 対数 グラフ 5 Written by ぷよぷよ 二次創作 ガイドライン 5 , Solidworks Api Part 6 , カーコンビニ倶楽部 全塗装 料金 7 , 今宵こそ パック 値段 24 , 水切り ヨーグルト バスク チーズケーキ 生クリーム なし 11 , バイト シフト 減ら され た コロナ 7 ,両対数グラフを使えば直線となり傾きがnとなる。べき乗関数であることがすぐ分かる。 したがって傾きが(Blog 10 e)x=0でのy軸との切片がlog 10 Aとなる。対数グラフでの傾きは直線上切片を求めるには、空いているセルに、 今回は、まず、両対数のグラフの描き方について考えていきます。 <手順> ①両対数グラフを生協などで買う ②両対数グラフの向きに注意して、横軸・縦軸を対数スケールで目盛をふる。



小鳥遊りょうさんへの返信 シンギュラリティ教徒への論駁の書



片対数グラフ 両対数グラフの傾きの意味 高校数学の美しい物語
最小二乗法による近似を行なうに際し、次 のような両対数グラフ上で直線となる近似式を用いて近 似する。 log i=alog t+b (i:漏れ電流、t:時間、a:勾配、b:切片) JPHA 電子部品の絶縁抵抗測定方法 Google Patents 電子部品の絶縁抵抗測定方法エクセル グラフ 傾き Digzmx Topsnew Jp Excelエクセルで両対数グラフを作成する方法両対数グラフの近似曲線の出し方 標準偏差をエクセルで求める方法と完璧なグラフの作|Udemy メディア 「グラフの傾き」に関連した英語例文の一覧と使い方 WeblioJPA JPA JPA JPA JP A JP A JP A JP A JP A JP A JP A JP A JP A JP A JP A JP A Authority JP Japan Prior art keywords constant reaction rate temperature curing



片対数グラフ 両対数グラフとは 読み方 書き方 使い方を解説



対数グラフにある式を書いたら傾き1 2 切片が1の直線になった Yahoo 知恵袋
両対数グラフ 対数グラフ 散布図 対数目盛 エクセル Excel エクセルの学校 両対数グラフ の描き方 (tp0025) Microsoft Excel で 両対数グラフ を描く方法を説明します (A1) 散布図 を使うと 両対数グラフ を描くことができます 一般にExcelのグラフは 横軸 がExcel両対数グラフで近似直線が曲線になる理由 井口豊(生物科学研究所,長野県岡谷市) 最終更新:18年11月9日 1 はじめに Excel で両対数グラフにしたとき,近似直線を引くと曲線になる,という疑問がしばしば投げかけられる。OKボタンをクリックすると、グラフにラインが引けます。 y=axbのa:傾き,b:切片の数値を表示したいときは 直線を選択した 対数目盛について説明した上で,片対数グラフ,両対数グラフの傾きの意味について解説します。



大学受験 教えてもらったかもしれない対数の概念 リケジョ的教育のすすめ



高校生からわかる片対数グラフと両対数グラフを使うと直線になる理由 宇宙に入ったカマキリ
片対数グラフ,両対数グラフの傾きの意味 レベル ★ マニアック その他 更新日時 対数グラフとは,対数目盛を使ったグラフのことです。 普通の目盛では「0から1」「1から2」が同じ1目盛分になりますが,対数目盛では,「1から10」「10から100, 片対数グラフというのは、縦の軸か横の軸の片方の目盛りが等間隔の目盛りではなく「対数の目盛り」になったグラフです。, 片方の軸なので、縦と横のどちらを対数にしてもOKですが、縦を対数軸にすることが多い気がします*1。, 両対数グラフというのは 3次 元の算出と折れ線近似グラフ フラクタル次元を考察するために,自然界に属するラン ダムな長さに関する事象の分布頻度(確 率)を,(4)式 に則 る意味で両対数目盛りグラフに描くと,第1図 に示したよ うな内部に直線部分を持った曲線になるこの直線部の傾



エクセルで両対数グラフの近似直線が曲線になるエクセルを使って両対数グラフを Yahoo 知恵袋



両対数グラフ上の直線の方程式の立て方を教えてほしいです 大学の課題で Yahoo 知恵袋
両対数プロットの粘度曲線*は(b)図のとおりで、Ⅱのずり速 度範囲では粘度曲線は右下りの直線となるが、ずり速度の増 加とともに直線の傾斜は幾段階にもわたって変わり、それぞ れに屈折点ができる。このように非ニュートン性の粘性がず 両対数グラフに書かれた直線の傾きと切片を求めたいのですが、どうしたら良いのでしょうか。縦軸、横軸の値は、変数そのものを x、y とするとグラフ上の横軸の値、縦軸の値は、それぞれlog(x)、log(y) ですね。従って、直線状の二点、{lo(b) 片対数グラフ (c) 片対数グラフ (d) 両対数グラフ 図6 色々な軸のグラフ 対数関数y = 00log e x1000 (5) それぞれの関数の対数軸を取ったグラフでの形は次のように求められる。対数軸では値のx、y に対して10 の 対数を取った次式で表されるX、Y との関係が



Yusuke Hayashi 林祐輔 X 累積感染者数 と Dx Dt 新規感染者数 の両対数グラフ X が指数増加 Dx Dt A X するとき 両対数にすると Log Dx Dt C Log X となって グラフの傾きは A によらず 1 になる 都市別に両対数グラフを描くと 東京は



Yusuke Hayashi 林祐輔 X 累積感染者数 と Dx Dt 新規感染者数 の両対数グラフ X が指数増加 Dx Dt A X するとき 両対数にすると Log Dx Dt C Log X となって グラフの傾きは A によらず 1 になる 都市別に両対数グラフを描くと 東京は
切片 e08 R^2 = このような感じで結果が得られてはいるのですが、、 両対数グラフなので直線と点は近いように見えますが、実際には両対数グラフ上での直線と点の差は、オーダーの差ということになるので数値的にみると結構して片対数グラフにプロットすると,Fig4に示すように直線 TimeonReactionConstant となり,切片およびこう配からそれぞれハ。およびαを求め た。なお,本実験において,速度定数とプロセス時間を両対数 グラフにプロットしてもFig4と同様に直線となるが,文献両対数でグラフを作成し,その切片と傾きを読みとる. ln(KLa)=ln(a)b*ln(G),a=a,b=dy/dx 52 結果のまとめ KLaの意味,分析結果およびグラフ化(片対数グラフ4,両対数グラフ1),係数a,b,計算過程,考 察,感想を記述する. 53 参考



両対数グラフ Wikipedia



半導体 電子デバイス物理 実験 一般的注意事項 レポートの書き方



片 対数 グラフ の 使い方



片 対数 グラフ の 使い方



片対数グラフ 両対数グラフの傾きの意味 高校数学の美しい物語



Yusuke Hayashi 林祐輔 X 累積感染者数 と Dx Dt 新規感染者数 の両対数グラフ X が指数増加 Dx Dt A X するとき 両対数にすると Log Dx Dt C Log X となって グラフの傾きは A によらず 1 になる 都市別に両対数グラフを描くと 東京は



2 1 3 対数 線形 片対数グラフ



1



散布図に近似直線 回帰直線 を付ける



片対数グラフと両対数グラフとは 読み方 や 傾き の意味などを解説



Yusuke Hayashi 林祐輔 X 累積感染者数 と Dx Dt 新規感染者数 の両対数グラフ X が指数増加 Dx Dt A X するとき 両対数にすると Log Dx Dt C Log X となって グラフの傾きは A によらず 1 になる 都市別に両対数グラフを描くと 東京は



片対数グラフ Wikipedia



Yusuke Hayashi 林祐輔 X 累積感染者数 と Dx Dt 新規感染者数 の両対数グラフ X が指数増加 Dx Dt A X するとき 両対数にすると Log Dx Dt C Log X となって グラフの傾きは A によらず 1 になる 都市別に両対数グラフを描くと 東京は



両対数グラフ上の直線の方程式の立て方を教えてほしいです 大学の課題で Yahoo 知恵袋



国際物理オリンピック実験試験のシラバス 1 標準的な実験器具 装置が使える マニュアル無しで使える Ppt Download



対数グラフ



半導体 電子デバイス物理 実験 一般的注意事項 レポートの書き方



電気基礎実験 グラフ処理 Ppt Download



片対数グラフの傾きの求め方なのですが 1 10 5 2 Yahoo 知恵袋



対数グラフとは何か Emanの物理数学



Excel エクセルで両対数グラフを作成する方法 両対数グラフの近似曲線の出し方



片対数グラフと両対数グラフとは 読み方 や 傾き の意味などを解説



高校生からわかる片対数グラフと両対数グラフを使うと直線になる理由 宇宙に入ったカマキリ



Zabbix 3 0 の予測機能のための数学的理解



片対数グラフと両対数グラフとは 読み方 や 傾き の意味などを解説



高校生からわかる片対数グラフと両対数グラフを使うと直線になる理由 宇宙に入ったカマキリ



Welcome To Adobe Golive 5



片対数 両対数グラフ うさぎでもわかる実験の基礎 第3羽 片対数 両対数グラフを用いた最小2乗法 工業大学生ももやまのうさぎ塾



両対数グラフ 雲外蒼天



半導体 電子デバイス物理 実験 一般的注意事項 レポートの書き方



片対数 両対数グラフ うさぎでもわかる実験の基礎 第3羽 片対数 両対数グラフを用いた最小2乗法 工業大学生ももやまのうさぎ塾



この画像の片対数グラフの直線式の求め方を詳しく教えてください 片対数グ Yahoo 知恵袋



次元をもつ物理量の対数



1998 2535号 有機材料の耐熱寿命推定方法 Astamuse



片対数グラフと両対数グラフとは 読み方 や 傾き の意味などを解説



散布図に近似直線 回帰直線 を付ける



対数グラフを作成する エクセル13基本講座



電気基礎実験 グラフ処理 Ppt Download



3



1



片対数 両対数グラフ うさぎでもわかる実験の基礎 第3羽 片対数 両対数グラフを用いた最小2乗法 工業大学生ももやまのうさぎ塾



片対数グラフと両対数グラフとは 読み方 や 傾き の意味などを解説



半導体 電子デバイス物理 実験 一般的注意事項 レポートの書き方



Excel エクセルで両対数グラフを作成する方法 両対数グラフの近似曲線の出し方



片対数 両対数グラフ うさぎでもわかる実験の基礎 第3羽 片対数 両対数グラフを用いた最小2乗法 工業大学生ももやまのうさぎ塾



スライド 1



対数グラフ



片対数グラフ 両対数グラフとは 読み方 書き方 使い方を解説



エクセル10の両対数グラフの傾きについての質問です Yahoo 知恵袋



対数グラフ



高校生からわかる片対数グラフと両対数グラフを使うと直線になる理由 宇宙に入ったカマキリ



片対数グラフ 両対数グラフとは 読み方 書き方 使い方を解説



1000以上 エクセル 反比例 グラフ シモネタ



理系大学生なら知っておきたいこと 両対数グラフの描き方 山あり谷あり 学生生活



大学受験 教えてもらったかもしれない対数の概念 リケジョ的教育のすすめ



高校生からわかる片対数グラフと両対数グラフを使うと直線になる理由 宇宙に入ったカマキリ



片対数 両対数グラフ うさぎでもわかる実験の基礎 第3羽 片対数 両対数グラフを用いた最小2乗法 工業大学生ももやまのうさぎ塾



2 1 4 対数 対数 両対数グラフ



小鳥遊りょうさんへの返信 シンギュラリティ教徒への論駁の書



両対数グラフ 雲外蒼天



片対数 両対数グラフ うさぎでもわかる実験の基礎 第3羽 片対数 両対数グラフを用いた最小2乗法 工業大学生ももやまのうさぎ塾



理系大学生なら知っておきたいこと 両対数グラフの描き方 山あり谷あり 学生生活



片対数 両対数グラフ うさぎでもわかる実験の基礎 第3羽 片対数 両対数グラフを用いた最小2乗法 工業大学生ももやまのうさぎ塾



両対数グラフ Wikipedia



対数 グラフ 底



高校生からわかる片対数グラフと両対数グラフを使うと直線になる理由 宇宙に入ったカマキリ



1



片対数グラフ 両対数グラフの傾きの意味 高校数学の美しい物語



片対数グラフ 両対数グラフの傾きの意味 高校数学の美しい物語



散布図に近似直線 回帰直線 を付ける



片対数 両対数グラフ うさぎでもわかる実験の基礎 第3羽 片対数 両対数グラフを用いた最小2乗法 工業大学生ももやまのうさぎ塾



半導体 電子デバイス物理 実験 一般的注意事項 レポートの書き方



2 3 2 対数 対数 両対数グラフ



片対数 両対数グラフ うさぎでもわかる実験の基礎 第3羽 片対数 両対数グラフを用いた最小2乗法 工業大学生ももやまのうさぎ塾



片対数グラフと両対数グラフとは 読み方 や 傾き の意味などを解説



両対数グラフの使い方について質問です とある実験のデータで両対数グ 物理学 教えて Goo



両対数グラフ 雲外蒼天



対数グラフを計算式に直す方法 学校で習ったと思うのですがすっかり忘れてし Okwave



片対数グラフ 両対数グラフとは 読み方 書き方 使い方を解説



両対数グラフの直線の近似式の求め方は 両対数グラフで直線になったグラフ Okwave



電気基礎実験 グラフ処理 Ppt Download



エクセルで両対数グラフの近似直線が曲線になるエクセルを使って両対数グラフを Yahoo 知恵袋



片対数グラフ 両対数グラフとは 読み方 書き方 使い方を解説



Yusuke Hayashi 林祐輔 X 累積感染者数 と Dx Dt 新規感染者数 の両対数グラフ X が指数増加 Dx Dt A X するとき 両対数にすると Log Dx Dt C Log X となって グラフの傾きは A によらず 1 になる 都市別に両対数グラフを描くと 東京は



対数グラフにある式を書いたら傾き1 2 切片が1の直線になった Yahoo 知恵袋



両対数グラフ Emanの物理数学



対数グラフ



3 対数グラフの利便性



半導体 電子デバイス物理 実験 一般的注意事項 レポートの書き方



Excelで近似直線の傾きと切片を得る


0 件のコメント:
コメントを投稿